
El Valor Actual Neto (VAN), básicamente y por definición es la diferencia que existe entre el valor actual de los flujos de fondos de la inversión y el capital inicial necesario para realizarla.
Al calcular el VAN podemos retraer los flujos de caja futuros al valor presente. Esto se realiza a través de descontar por una tasa de descuento específica, para así poder compararlos con el importe inicial (capital) de la inversión.
Por otra parte, existe un término financiero, o herramienta que sirve para comparar inversiones. Se trata del Valor Actual Neto (VAN), la cual es la diferencia que existe entre el valor actual de los flujos de fondos de la inversión y el capital inicial necesario para realizarla.
Si el VAN es positivo, el proyecto es rentable y se recomienda realizar la inversión. Por el otro lado, en caso de ser negativo, el proyecto no es rentable y debería rechazarse.
En caso de tener dos proyectos con VAN positivo, conviene elegir aquel con el VAN más alto.
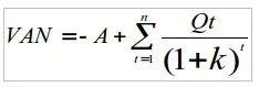
Fórmula del Valor Actual Neto (VAN):

A = desembolso inicial
Qt = flujo de tesorería en el período T
k = costo de capital
n = vida útil estimada para la inversión.
Puede aquí descargar el excel para Calcular la VAN.
A continuación, les dejamos un video para que pueda Calcular la VAN fácilmente:



